
壁面模化大涡模拟方法(wall-modeled large eddy simulation, WMLES)是一种用于高雷诺数壁湍流模拟的方法, 其中对数区不匹配(log-layer mismatch, LLM)现象的产生是大涡模拟壁模型面临的一个重要挑战。清华大学湍流实验室团队聚焦该基础问题,提出一种新的LLM现象分类依据。基于新的分类方法, 可以更加合理地对LLM现象的成因进行探究, 并为解决特定的LLM现象提供理论指导。本文同时强调总切应力守恒(total-shear-stress-conserved, TSSC)约束对抑制LLM现象的关键作用, 并解释了解析雷诺切应力对于满足总切应力守恒约束的重要性。
LLM现象表现为平均流向速度剖面在内尺度标度下偏离实验或者DNS数据给出的对数律,图 1展示了部分文献中出现的LLM现象。传统分类依据的是平均速度剖面与对数律的相对位置关系, 如果平均速度剖面高于对数律, 称为p-LLM (positive LLM), 反之称为n-LLM (negative LLM)。本文在此基础上, 依据平均速度剖面在过渡区的梯度变化情况做进一步分类: 如果平均速度梯度出现了突增, 称为GI-LLM (gradient-increasing LLM), 反之称为GD-LLM (gradient-decreasing LLM)。图 1展示了现有文献中观察到的三种LLM现象: pGI-LLM (positive-GI LLM), pGDLLM (positive-GD LLM), 以及nGI-LLM (negative-GI LLM),其中五角星标记了速度梯度在过渡区发生突增或突减的位置;由于现有文献中尚未发现nGD-LLM (negative-GD LLM)现象, 因此不予以展示。

图 1 对数区不匹配(LLM)现象示意图,数据均来自平板槽道湍流。五角星标注了平均速度梯度出现了陡增(GI)或陡降(GD)的位置;为便于对比,将pGD-LLM相应剖面上移5个壁面粘性尺度。
基于新的分类,我们分别对RANS/LES混合方法中的pGI-LLM现象和壁面切应力壁模型中的pGI-LLM、nGI-LLM、pGD-LLM进行讨论(包括成因和现有的解决策略)。基于这些讨论,LLM现象从成因角度可以重新划分为GI-LLM与GD-LLM现象。其中GI-LLM现象一般是由于高耗散的模型或者数值格式引起的,在这些因素作用下,近壁区均呈现“高耗散、弱脉动、低雷诺数”特征;流动从近壁区过渡到外区时湍流活动有所增强, 因此流场平均剪切(或平均速度梯度)有所增大。相反,GD-LLM现象一般是由于低耗散的模型或者数值格式引起的,在这些因素作用下,近壁区的非物理脉动(可能由数值误差和模型误差等因素引起)无法被有效压制, 导致近壁区流场呈现“低耗散、强脉动、高雷诺数”特征;流场在过渡到外区时平均剪切(或平均速度梯度)有所减小。对于一些施加了滑移边界条件的算例, 近壁区脉动场由于不受壁面限制会变得过于活跃, 也会导致GD-LLM现象的产生。
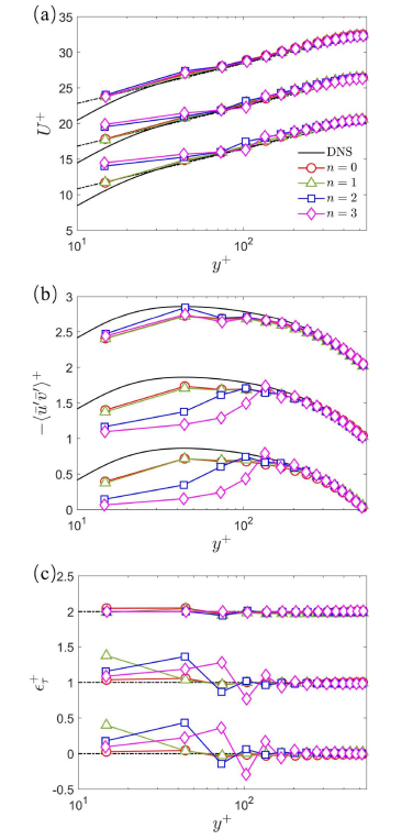
从以上讨论可以看出,对于大涡模拟壁模型而言,保证近壁区有合适的耗散可能是解决LLM问题的根本:如果耗散过大, 会压制近壁区小尺度结构的产生并引发GI-LLM;如果耗散过小,无法压制近壁区非物理的脉动从而导致GD-LLM。从Navier-Stokes方程的角度出发, 可以用总应力来表征某个高度处的耗散大小。因此,总切应力守恒是保证壁面模化大涡模拟方法不出现LLM现象的一个基本要求。图 2对比了三种壁模型在
的充分发展槽道湍流的数值模拟结果,并与DNS数据[1]、WRLES数据进行对比。图 2(a~c)分别展示了平均速度剖面、解析雷诺切应力剖面以及总切应力亏损剖面;其中每幅子图中从上到下分别对应WMn、WMpn以及WMpcn模型,每个模型分别展示了修正层层数
的结果。对于WMn模型而言,由于忽略了所有的非平衡项,近壁区的总切应力过高[见图 2(c)],近壁区脉动被压制[见图 2(b)],流场呈现“低雷诺数”特征并产生了GI-LLM现象[见图 2(a)]。在WMn模型基础上考虑压力梯度的影响,可以得到WMpn模型。从图 2可以看到GI-LLM现象在WMpn模型中有所改善但是仍然存在。在WMpn模型基础上再引入对流项的影响,得到WMpcn模型。WMpcn模型可以有效保证总切应力的守恒[见图 2(c)],从而得到合理的脉动场分布与平均速度分布[见[图 2(a,b)]。

图 2 不同亚格子涡黏系数修正模型用于
的平板槽道湍流算例结果[2], 并与DNS结果[1]进行比较。(a) 平均速度剖面; (b) 解析雷诺切应力剖面; (c) 总切应力亏损剖面, 其中
,
和
分别是总切应力和壁面切应力。
总的来说,本文提供了一个新的视角去分类并分析LLM现象。基于平均速度剖面在过渡区的梯度变化,可以将LLM现象大致分为GI-LLM以及GD-LLM现象,这两种现象分别对应着高(低)耗散的模型与数值格式。LLM现象的形成与数值格式、离散格式、壁模型、亚格子应力模式以及网格设置等因素都有关系, 这意味着很难在壁模型设计之初就知道是否出现LLM现象以及出现什么类型的LLM现象,因此我们希望提出一些针对壁模型的约束条件, 用于规范或者改进壁模型。本文在最后阐述了总切应力守恒约束对于抑制LLM现象的关键作用, 并解释了对流效应(或解析雷诺切应力)对于满足总切应力守恒约束的重要性。
相关成果以“壁面模化大涡模拟中对数区不匹配现象的再分类”(英文标题:Reclassification of the logarithmic-layer-mismatch phenomenon in wall-modeled large-eddy simulations)为题于近期发表在《科学通报》上。博士生刘焕聪为论文第一作者,黄伟希教授为论文通讯作者,许春晓教授为论文共同作者。该项目得到了国家自然科学基金(12425206, 12272206, 92252204, 12388101)的资助。
论文信息:Liu H-C, Xu C-X, Huang W-X. Reclassification of the logarithmic-layer mismatch phenomenon in wall-modeled large-eddy simulations (in Chinese). Chin Sci Bull, 2026, 71: 672–684
原文链接:10.1360/CSB-2025-5032
1 Lee M, Moser RD. Direct numerical simulation of turbulent channel flow up to Reτ≈5200. J Fluid Mech, 2015, 774: 395–415
2 Liu H-C, Xu C-X, Huang W-X. A total-shear-stress-conserved wall model for large-eddy simulation of high-Reynolds number wall turbulence. J Comput Phys, 2025, 534: 114029
